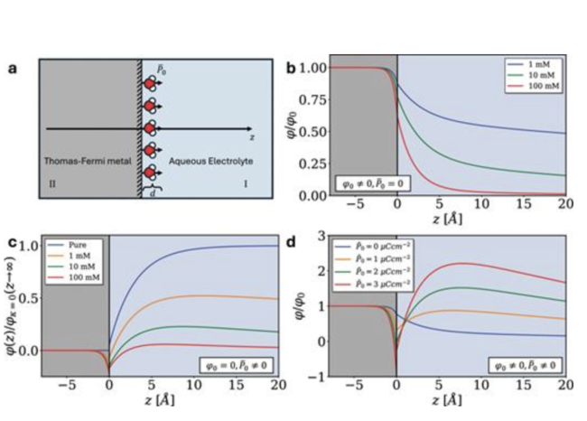
The traditional Gouy–Chapman–Stern theory has been effective in explaining the behavior of dilute electrolytes in the electrical double layer but falls short when it comes to describing how ions behave at the metal/electrolyte interface. This is because it overlooks key factors such as the molecular structure of water at the interface and the effects of electron screening in the metal. To address these gaps, we revisit ion adsorption at the metal/electrolyte interface. The approach combines the method of images with a field-theoretic framework for dilute electrolytes and metals described by the Thomas–Fermi model. Nonlocal polarization correlations in water are described by a first-order gradient expansion in the Landau free energy functional. Unlike earlier approaches that relied on the “specular reflection approximation,” our method provides a less constrained way to handle the complex electrostatic boundary conditions at the interface. Analyzing the behavior of a test charge near the interface, an electrostatic energy minimum is found. This minimum depends on the metal’s screening properties and the overall potential drop across the double layer. In addition, the alignment of water dipoles at the interface creates an asymmetry in the energy experienced by positively and negatively charged ions. Finally, we derived an expression for the electrosorption isotherm by describing both the distribution of the electrostatic potential and the lateral interactions between charges along the interface. Our findings highlight how the structure of interfacial water can drive processes such as underpotential deposition by creating favorable electrostatic conditions for ion adsorption.
Journal Of Chemical Physics
By: Jonathan G. Hedley, Kavin K. Bhatt, Hélène Berthoumieux and Alexei A. Kornyshev.
J. Chem. Phys. 162, 114703 (2025)
DOI: https://doi.org/10.1063/5.0254033

