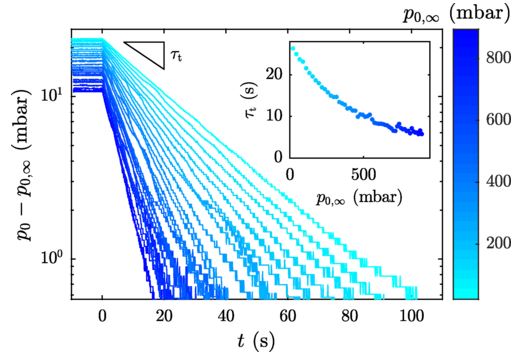
Hydrodynamic flows in compliant channels are of great interest in physiology and microfluidics. In these situations, elastohydrodynamic coupling leads to (i) a nonlinear pressure-vs-flow-rate relation, strongly affecting the hydraulic resistance; and (ii), because of the compliance-enabled volume storage, a finite relaxation time under a stepwise change in pressure. This latter effect remains relatively unexplored, even while the timescale can vary over a decade in typical situations. In this study we provide time-resolved measurements of the relaxation dynamics for thin and soft, rectangular microfluidic channels. We describe our data using a perturbative lubrication approximation of the Stokes equation coupled to linear elasticity, while taking into account the effect of compliance and resistance of the entrance. The modeling allows us to completely describe all of the experimental results. Our Letter is relevant for any microfluidic scenario wherein a time-dependent driving is applied and provides a first step in the dynamical description of compliant channel networks.
Physical Review Letters
Vol. 129, Issue 20 (204501)
Published: November 2022
By: Gabriel Guyard, Frédéric Restagno, and Joshua D. McGraw
DOI:https://doi.org/10.1103/PhysRevLett.129.204501

